Simple harmonic motion:

A body is said to be in Simple Harmonic Motion, if it moves to and from about its mean position in a straight line such that at any given point its acceleration is directly proportional to the displacement in magnitude but opposite in direction and is directed always towards the mean position. i.e. for SHM,

a ∝ y ( where y is the displacement from mean position)
or, a = – k y ………. 1)

Where, k is proportionality constant. The negative sign indicates that acceleration is directed opposite to the displacement of the object from the mean position. (i.e. acceleration is always directed towards the mean position)

NOTE: If a body is moving in such a way that, with increase in time, it repeats its value of displacement, velocity, acceleration etc. and it can be expressed in the terms of function containing sine or cos, then it is harmonic motion.

Characteristics of Simple Harmonic Motion (SHM):

a) Displacement in SHM: Consider a particle moving in a circular orbit having center at O and radius r with uniform angular velocity ω. Let ‘P’ be the position of the particle at any time t and corresponding angular displacement is θ.

Displacement in SHM

In ΔOMP,

s2

or, y=rSinθ,  where, θ = ωt
or, y=rSinωt……….………. 1)
This equation (1) is the displacement equation for simple harmonic motion.
NOTE:

→ If the particle is at mean position i.e. y = 0 at t = 0, then the general equation of SHM is
y = r sinωt
→ If the particle is not at mean position at t = 0, then the general equation of SHM is
y = r sin(ωt±)
→ If the particle is at extreme position i.e. y = r at t = 0, then the general equation of SHM is
y=rcos⁡ωt

s4

b) Velocity in SHM:

The rate of change of displacement of the particle gives velocity.

pshm1

Cases:

i) At mean position, y=0
v= (max) i.e., at the mean position, velocity is maximum.

ii) At extreme position, y=r
v=0(min) i.e., at the extreme position, velocity is zero.

smm2

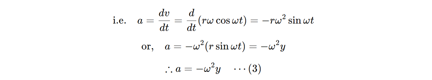
c) Acceleration in SHM:
The rate of change of velocity of a particle gives acceleration.

shm3

This is the expression for acceleration in SHM.

d) Amplitude:

magnitude

The maximum displacement of the particle from the mean position is called amplitude. Its SI unit is metre.
The expression of the particle executing SHM is

.

When sin⁡ωt=1, y  will be maximum, therefore ,y(max)=r. So, r is the amplitude of the particle executing SHM.

e) Time period:

time periodTime taken by a particle in SHM to complete its one oscillation is called time period. It is denoted by T. Its SI unit is second. It is given by the relation,

T=2π/ω

time period detivation

f) Frequency:

The number of complete oscillations made by a particle in one second is called frequency of oscillation of the particle. If f is the frequency of oscillation of the particle executing SHM, then

fequency

Its SI unit is cycle/second or Hertz (Hz).

​​

g) Phase:

Phase is the angle which specifies the displacement and direction of motion of the point executing SHM. In the displacement equation

y=rsin⁡ωt

is called phase angle of the particle in SHM.

Simple Pendulum:

A simple pendulum is a heavy metallic bob suspended by a weightless, inextensible string with frictionless rigid support that can vibrate about a fixed point. The length between the point of suspension and the center of gravity (CG) of the bob is called the effective length of the pendulum.

simple pendulum

Consider a simple pendulum having the mass of the bob m and an effective length l. Let the pendulum be slightly displaced from its mean position through small angular displacement θ and the corresponding arc length y. In the displaced position, the weight mg of the bob can be resolved into two components.

  • The component mgcosθ balances the tension T in the string.
  • The component mgsinθ tends to bring the bob into the mean position and hence acts as a restoring force.

simple14

simple15

Second Pendulum:

A simple pendulum whose time period is two second is called second pendulum. i.e. T = 2 sec.

On the earth’s surface, g = 9.8 m/s² and from the relation,

simple1

Mass spring system:

1. Horizontal oscillation of mass spring system:

Mass Spring System

Consider a body of mass m is connected to one end of a spring whose another end is connected to a fixed rigid wall and the mass is placed on a smooth (frictionless) horizontal surface as shown in figure. Let the mass be slightly pulled outward so that an extension y is produced in the spring. According to Hooke’s law, the restoring force acting on the mass is given by,

F y

or,  F= – ky ……….(1)

Where k is the force constant and the negative sign indicates that the restoring force acts in the opposite direction of displacement of the body from the mean position.

When the pulled mass is released, it executes oscillation about the mean position. If a be the acceleration produced, then

ma = -ky

simple

Since k and m are constant

∝   y

Hence, the horizontal oscillation of mass spring system executes simple harmonic motion.

For simple harmonic motion, we have,
simple4
Thus, the time period of horizontal oscillation of a mass-spring system depends upon the mass of the body and the force constant of the spring.

2. Vertical oscillation of mass spring system: (Helical spring system)

simple9

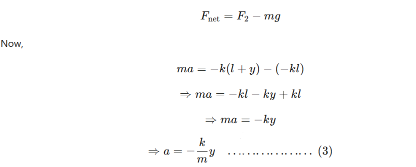
Consider a spring suspended vertically on a fixed rigid support. Let a mass m be attached at the lower end of a spring so that an extension l is produced in the spring. This is the equilibrium position of the mass-spring system (i.e., mass is at rest). The restoring force acting on the mass is given by
simple5

where k is the force constant or spring constant of the spring. The negative sign shows that the force opposes the displacement from the mean position.

Let the mass be further pulled downward through a distance y. Then the new restoring force produced in the spring is given by
simple2When the mass is released, it moves to and from about the equilibrium position. The net force that causes the oscillation of the mass is (when the mass moves upward):

simple7

simple8

When the mass is released, it moves to and from about the equilibrium position. The net force that causes the oscillation of the mass is (when the mass moves upward):

simple10

Since k and mmm are constants,

a  ∝−y

Hence, the vertical oscillation of the mass-spring system executes Simple Harmonic Motion (S.H.M.).

simple harm

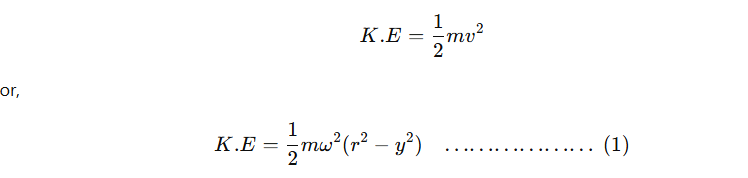
Energy in SHM:

A particle executing SHM has both kinetic and potential energy. So, the total energy of a particle in SHM is equal to the sum of its kinetic and potential energy.

Kinetic Energy in SHM:
Velocity in SHM is given by the relation,

simple11

where,
ω = angular frequency,
r = amplitude,
y= displacement from the mean position.

∴ The kinetic energy (K.E.) of a particle with mass m in SHM is given by

simple12

Compiled By Er. Basant Kumar Yadav

error: Content is protected !!
Scroll to Top