What is Magnetism?

Magnetism is a force that can attract or repel objects, and it is caused by the movement of tiny charged particles called electrons. When electrons move in certain ways, they create a magnetic field. This field can act on other materials and objects.

A magnet is any material that can produce a magnetic field. This magnetic field is what makes a magnet able to attract or repel other materials, such as iron, cobalt, or nickel.

Types of Magnets:

  1. Permanent Magnets: These magnets always have a magnetic field. They don’t lose their magnetism easily. Permanent magnets are usually made of materials like iron, nickel, or cobalt. Examples: A refrigerator magnet, the magnetic needle in a compass, or a magnet used in speakers.
  2. Temporary Magnets: Temporary magnets become magnetic only when placed in a magnetic field. But once you remove the magnetic field, they lose their magnetism. Examples: A piece of iron or a nail. If you rub a magnet on it, it will become magnetized temporarily, but it won’t stay that way for long.

 Introduction to Magnet and Non-Magnetic Materials

Materials can be divided into two categories: magnetic and non-magnetic.

  1. Magnetic Materials: These materials can be attracted by magnets or can become magnets themselves. Some materials can keep their magnetism for a long time, while others only have it temporarily. Examples of magnetic materials:
    • Ferromagnetic materials: These are strongly attracted to magnets. Examples include iron, cobalt, and nickel.
    • Paramagnetic materials: These are weakly attracted to magnets. Examples include aluminum and platinum.
    • Ferrimagnetic materials: These are similar to ferromagnetic materials, like magnetite, but they have different magnetic properties.
  2. Non-Magnetic Materials: These materials do not show any magnetic attraction. In other words, magnets do not affect them at all. Examples of non-magnetic materials: Wood, Plastic, Glass, Copper, and Rubber.

properties of a magnet

A magnet has the following properties.

  1. Magnetic Poles: Every magnet has two poles: the north pole and the south pole. These are the areas where the magnetic force is strongest.
  2. Like Poles Repel, Unlike Poles Attract: Like poles (e.g., north-north or south-south) repel each other. Unlike poles (e.g., north-south) attract each other.
  3. Magnetic Force: Magnets exert a magnetic force on other magnets or magnetic materials. The force is stronger at the poles and weaker as you move away from the magnet.
  4. Magnetic Field: A magnet creates an invisible region around it called a magnetic field. The magnetic field is represented by lines that go from the north pole to the south pole. The density of these lines shows the strength of the magnetic field.
  5. Magnetic Induction: Magnets can magnetize certain materials like iron and steel. This process is called magnetic induction. Once magnetized, these materials can also behave like magnets temporarily.
  6. Magnetism is Permanent or Temporary: Permanent magnets retain their magnetism for a long time, and Temporary magnets only act as magnets when exposed to a magnetic field and lose their magnetism when the field is removed.
  7. Magnets are Always Dipoles: A magnet always has two poles: north and south. Even if you cut a magnet into smaller pieces, each piece will still have two poles.
  8. Attraction to Magnetic Materials: Magnets attract magnetic materials such as iron, nickel, cobalt, and their alloys. Non-magnetic materials like wood or plastic are not affected by magnets.
  9. Magnetic Moment: Every magnet has a property called magnetic moment, which measures the strength and direction of the magnet’s magnetic field. It is determined by the size and shape of the magnet and the alignment of the magnetic domains inside.
  10. Magnetic Strength Decreases with Distance: The strength of the magnetic force decreases as you move farther away from the magnet. This is because the magnetic field weakens with distance.
  11. Magnetism Can Be Transferred: A magnet can transfer its magnetic properties to a piece of iron or steel, making it temporarily magnetic by rubbing the magnet over it.
  12. Earth as a Magnet: The Earth itself behaves like a giant magnet, with a magnetic north and south pole. This is why a compass needle always points north—it aligns with the Earth’s magnetic field.

 Magnetic Terminologies

When we talk about magnetism, we use some specific terms to describe how magnets and their magnetic fields work. Here are a few important ones:

  1. Magnetic Field: A magnetic field is an area around a magnet where its magnetic force can be felt. It is invisible, but we can detect its presence by seeing how it affects other materials, like metal objects. The magnetic field is strongest near the poles of the magnet (the north and south ends).
Magnetic Field
Magnetic Field
  1. Magnetic Field Density (B): Magnetic field density, also known as flux density, tells us how strong the magnetic field is in a specific area. The stronger the magnetic field, the more lines of force there are, and these lines are closer together. The weaker the field, the further apart these lines will be.
  2. Lines of Magnetic Flux: These are imaginary lines that show the direction of the magnetic field. They show us where the magnetic force is acting. The lines always travel from the north pole of the magnet and curve around to the south pole. The more lines in a space, the stronger the magnetic field in that area.
  3. Flux Density: Flux density is another term for magnetic field density. It tells us how much magnetic force is passing through a certain area. It is measured in Tesla (T).

6.4 Magnetic Effects and Their Applications

Magnetism has many effects and uses in the world around us. Here are a few examples:

  1. Attraction and Repulsion:
    • Like poles of a magnet repel each other, and opposite poles attract each other.
    • If you bring two north poles together, they will push away from each other. But if you bring a north pole and a south pole together, they will attract each other.
  2. Magnetic Levitation (Maglev Trains):
    • Maglev trains use magnets to make the train float above the tracks, reducing friction and allowing it to move at high speeds without touching the ground.
    • This is possible because of magnetic repulsion: like poles of magnets push away from each other, allowing the train to levitate.
  3. Electric Motors:
    • An electric motor works by using magnets and electric currents. The magnetic field from the magnets interacts with the electric current, causing motion.
    • For example, in a fan, the motor uses magnets to rotate the blades, creating airflow.
  4. Magnetic Storage (Hard Drives, Credit Cards):
    • Magnets are used to store information in devices like hard drives and credit cards. The information is saved by changing the magnetization of small particles on the disk or card.
    • A computer hard drive uses magnetism to read and write data by changing the magnetic state of tiny areas on a spinning disk.
  5. Magnetic Compass:
    • A magnetic compass uses the Earth’s magnetic field to show direction. The needle of the compass is a small magnet, and it points to the magnetic north pole of the Earth.

Principle of Electromagnetism

Electromagnetism is the phenomenon of interaction of electric current with the magnetic field, as when the electric current generates a magnetic field or when a changing magnetic field generates the electric field. The production of magnetic property (magnetism) in a current-carrying conductor is known as electromagnetism, and the magnetic field developed around is known as the electromagnetic field

Electromagnet

An electromagnet is a type of magnet that produces a magnetic field when electric current flows through it. When the electricity is turned off, the magnetic field disappears. For this reason, electromagnets are called temporary magnets.

The strength of an electromagnet depends on several factors:

  • Number of turns of the wire: More coils of wire produce a stronger magnetic field.
  • Amount of electric current: Higher current increases the strength of the magnet.
  • Type of core material: A soft iron core makes the electromagnet stronger.

Electromagnet

Electromagnets are widely used in devices where the magnetic field needs to be controlled (turned on or off). They are commonly found in:

How an Electromagnet Works:

An electromagnet is made by wrapping a coil of insulated copper wire around an iron core (such as an iron nail) and connecting it to a battery. When electric current flows through the wire, a magnetic field is produced, and the iron core becomes magnetized. It can attract small iron objects like paper clips. When the battery is disconnected, the current stops flowing, and the magnetic field disappears.

 
Electromagnets are used in many devices, including motors, doorbells, and MRI machines, because their strength can be controlled by adjusting the electric current.

Electromagnetic Induction

Electromagnetic induction

Electromagnetic Induction When a conducting wire is placed in the magnetic field and is moved up and down, it will crosses the magnetic lines of force. Due to this the opposite charges are developed at the two ends of the conductor. Hence the electrons starts to flow through the wire, when its ends are connected to a galvanometer. This deflects the needle of galvanometer and shows the current in the circuit.

The production of electromotive force (emf) or voltage across a conductor due to relative motion between the conductor and the magnetic field is known as electromagnetic induction. This process was first discovered by Michael Faraday in 1831 A.D. And the current produced is known as induced current

This principle of electromagnetic induction is used in different equipments like generator, dynamo etc

Faraday’s Law of electromagnetic induction

Faraday’s Law of electromagnetic induction states that

  • When the magnetic flux linked with the closed circuit changes, an electromotive force (emf) is induced in the circuit.
  • The magnitude of induced emf is directly propotional to the rate of change of magnetic flux.
  • The induced emf lasts in the circuit as long as the change in the magnetic flux continues.

Note: The magnitude of induced emf can be increased by the following methods

  1. a) By increasing the strength of magnet
  2. b) By decreasing the distance between the poles of magnet
  3. c) By increasing the speed of moving conductor.

Fleming’s Right-Hand Rule

Flemming's Right Hand Rule

Fleming’s Right-Hand Rule states that:

If the thumb, forefinger, and middle finger of the right hand are stretched out mutually perpendicular to each other, then:

According to Fleming’s Right-Hand Rule, the forefinger (index finger) represents the direction of the magnetic field (B), the thumb indicates the direction of motion or movement of the conductor, and the middle finger shows the direction of the induced current (I).

These three fingers are held mutually perpendicular to each other, and this rule helps to determine the direction of the induced current when a conductor moves through a magnetic field, as in the case of an electric generator.


Types of induced emf

1. Statistically Induced emf
2. Dynamically induced emf

1. Statistically Induced emf
When a conductor is moved in a fixed magnetic field, an emf is induced in the conductor due to the change in magnetic flux. And thus producing emf by keeping the magnetic field constant is known as statically induced emf.

2. Dynamically Induced emf
When a magnet is moved around a fixed conductor, an emf is induced in the conductor due to the change in magnetic flux. And thus emf produced by keeping the conductor constant is known as the dynamically induced emf.

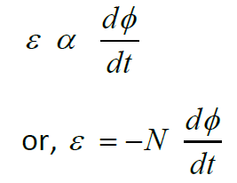
Lenz’s Law:

Lenz’s law states that when an emf is generated by a change in magnetic flux according to Faraday’s law, the polarity of the induced emf is such that it produces a current whose magnetic field opposes the change that produces it. According to Faraday’s law of electromagnetic induction,

Lenz's Law

The negative sign used in Faraday’s law of electromagnetic induction indicates that the induced emf ( ∈) and the change in magnetic flux ( dΦ) have opposite
signs.

Where  ∈ = Induced emf,
dΦ = Change in magnetic flux
N = No. of turns of coil

Maxwell’s Screw rule

Maxwell’s Screw Rule is a simple way to determine the direction of the magnetic field around a current-carrying conductor.

Maxwell's Screw rule

According to this rule, when we tie or open a screw on a board, if the direction of advancement of screw is taken as the direction of current in a straight current carrying conductor, then the direction in which the screw is rotated shows the direction of magnetic lines of force in a straight current carrying conductor.

error: Content is protected !!
Scroll to Top